Pain Concept Ste Hermine

Handmade Mens Masonic Rock Punk Lion King Biker Trucker Ring Solid Ste Ichainwallets Rings Women Rings Special Ring

Handmade Mens Masonic Rock Punk Lion King Biker Trucker Ring Solid Ste Ichainwallets Rings Women Rings Special Ring

Figure 2 Classification Of Acute Coronary Syndromes Into Ste Acs Stemi St E Acute Coronary Syndrome Percutaneous Coronary Intervention Myocardial Infarction

Figure 2 Classification Of Acute Coronary Syndromes Into Ste Acs Stemi St E Acute Coronary Syndrome Percutaneous Coronary Intervention Myocardial Infarction

Nstemi Non St Elevation Myocardial Infarction Unstable Angina Diagnosis Acute Coronary Syndrome Percutaneous Coronary Intervention Myocardial Infarction

Nstemi Non St Elevation Myocardial Infarction Unstable Angina Diagnosis Acute Coronary Syndrome Percutaneous Coronary Intervention Myocardial Infarction

Pin On Cake Layers

Pin On Cake Layers

Pin On Jointfuel360

Pin On Jointfuel360

Pin By Cole Pham On The Bible Biblical Art Bride Of Christ Bible Art

Pin By Cole Pham On The Bible Biblical Art Bride Of Christ Bible Art

Pin By Cole Pham On The Bible Biblical Art Bride Of Christ Bible Art

Cross Medical Sign Inside Circle Stethoscope Medical Healthcare Vector Logo Design Template Ad Aff Circle Ste Medical Sign Infographic Design Infographic

Cross Medical Sign Inside Circle Stethoscope Medical Healthcare Vector Logo Design Template Ad Aff Circle Ste Medical Sign Infographic Design Infographic

I Am The Way The Truth And The Life Superb Photo Manipulations By Kevin Carden Cartazes Religiosos Cartazes Cristaos Imagens De Biblia

I Am The Way The Truth And The Life Superb Photo Manipulations By Kevin Carden Cartazes Religiosos Cartazes Cristaos Imagens De Biblia

Set 48 Warframe Art Concept Art Characters Fantasy Character Design

Set 48 Warframe Art Concept Art Characters Fantasy Character Design

Six Pains Maxi Hot Dog Pain Concept Services

Six Pains Maxi Hot Dog Pain Concept Services

Rooms And Services Simply At Home Ace Hotel Vendee Sainte Hermine

Rooms And Services Simply At Home Ace Hotel Vendee Sainte Hermine

Https Rune Une Edu Au Web Bitstream 1959 11 2537 4 Open Source02 Pdf

Https Rune Une Edu Au Web Bitstream 1959 11 2537 4 Open Source02 Pdf

Subscribe To Me On Youtube My Channel Is Dominique Rose Beige Aesthetic Cream Aesthetic Classy Aesthetic

Subscribe To Me On Youtube My Channel Is Dominique Rose Beige Aesthetic Cream Aesthetic Classy Aesthetic

Https Repository Arizona Edu Bitstream Handle 10150 194161 Azu Etd 10646 Sip1 M Pdf Sequence 1

Https Repository Arizona Edu Bitstream Handle 10150 194161 Azu Etd 10646 Sip1 M Pdf Sequence 1

Https Www Researchgate Net Profile Juan Peinado Acevedo Publication 338390555 Polyarteritis Nodosa A Cohort Of Colombian Pediatric Patients Links 5e110a9092851c8364b0c637 Polyarteritis Nodosa A Cohort Of Colombian Pediatric Patients Pdf

Https Www Researchgate Net Profile Juan Peinado Acevedo Publication 338390555 Polyarteritis Nodosa A Cohort Of Colombian Pediatric Patients Links 5e110a9092851c8364b0c637 Polyarteritis Nodosa A Cohort Of Colombian Pediatric Patients Pdf

A Father And Mother More Worthy Of Heaven Than Of Earth The Promotion Of The Cults Of Louis And Zelie Martin By The Carmel Of Lisieux 1897 1959 Deboick 2018

A Father And Mother More Worthy Of Heaven Than Of Earth The Promotion Of The Cults Of Louis And Zelie Martin By The Carmel Of Lisieux 1897 1959 Deboick 2018

Https Link Springer Com Content Pdf 10 1007 2f978 981 13 2977 7 Pdf

Https Link Springer Com Content Pdf 10 1007 2f978 981 13 2977 7 Pdf

Cincinnati Magazine October 2020 Edition By Cincinnati Magazine Issuu

Cincinnati Magazine October 2020 Edition By Cincinnati Magazine Issuu

Https Www Sanantonio Gov Portals 0 Files Dsd Pastgranted 2012 2012 02 25 Pdf

Https Www Sanantonio Gov Portals 0 Files Dsd Pastgranted 2012 2012 02 25 Pdf

Https Www Sanantonio Gov Portals 0 Files Dsd Pastgranted 2012 2012 09 01 Pdf

Https Www Sanantonio Gov Portals 0 Files Dsd Pastgranted 2012 2012 09 01 Pdf

Antioxidant Activity And Phenolic Content Of Selected Fruit Seeds Request Pdf

Antioxidant Activity And Phenolic Content Of Selected Fruit Seeds Request Pdf

Glycogen Storage Disease Disease Malacards Research Articles Drugs Genes Clinical Trials

Glycogen Storage Disease Disease Malacards Research Articles Drugs Genes Clinical Trials

Https Www Jaci Inpractice Org Article S2213 2198 19 30437 4 Pdf

Https Www Jaci Inpractice Org Article S2213 2198 19 30437 4 Pdf

Digital Conservancy

Digital Conservancy

Https Cdr Lib Unc Edu Downloads Dz010r06p Locale En

Https Cdr Lib Unc Edu Downloads Dz010r06p Locale En

Finals Motivation If You Re Not Proud You Re Doing It Wrong Http Www Hercampus Com School Great Motivational Quotes Inspirational Quotes Motivation Words

Finals Motivation If You Re Not Proud You Re Doing It Wrong Http Www Hercampus Com School Great Motivational Quotes Inspirational Quotes Motivation Words

Https Api Research Repository Uwa Edu Au Portalfiles Portal 3219738 Trenos Helen 2008 Pdf

Https Api Research Repository Uwa Edu Au Portalfiles Portal 3219738 Trenos Helen 2008 Pdf

Https Link Springer Com Content Pdf 10 1007 2f978 3 319 59632 7 Pdf

Https Link Springer Com Content Pdf 10 1007 2f978 3 319 59632 7 Pdf

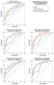
Cancers Free Full Text 18f Fdg Pet Ct Radiomics For Prediction Of Bone Marrow Involvement In Mantle Cell Lymphoma A Retrospective Study In 97 Patients Html

Cancers Free Full Text 18f Fdg Pet Ct Radiomics For Prediction Of Bone Marrow Involvement In Mantle Cell Lymphoma A Retrospective Study In 97 Patients Html

Epic Artwork By Michael Michera Fantasy Art Angels Fantasy Art Dark Fantasy Art

Epic Artwork By Michael Michera Fantasy Art Angels Fantasy Art Dark Fantasy Art

Natural Beauty First Floor Plan Basement House Plans Tuscan House Plans Craftsman Style House Plans

Natural Beauty First Floor Plan Basement House Plans Tuscan House Plans Craftsman Style House Plans

Twin Flames Rise Together Mercury Rises Alone Or Mercury Alone Rises Aurora Is Dr Stranges Daughter And Dr Sacred Geometry Art Ethereal Art Geometry Art

Twin Flames Rise Together Mercury Rises Alone Or Mercury Alone Rises Aurora Is Dr Stranges Daughter And Dr Sacred Geometry Art Ethereal Art Geometry Art

Bulk Cooking Concepts Can And Bottle Openers Dollar Tree

Bulk Cooking Concepts Can And Bottle Openers Dollar Tree

In Search Of Presence With Scandebergs Ignant Red Aesthetic Aesthetic Aesthetic Colors

In Search Of Presence With Scandebergs Ignant Red Aesthetic Aesthetic Aesthetic Colors

Provence Le Thoronet Abbey The Nave Apse Church Architecture Romanesque Architecture Architecture

Provence Le Thoronet Abbey The Nave Apse Church Architecture Romanesque Architecture Architecture

8 Pains Panini Pain Concept Services 1 Kg

8 Pains Panini Pain Concept Services 1 Kg

Tourist Guide Eastern Townships 2020 2021 Estrie Quebec By Tourismecantonsdelest Issuu

Tourist Guide Eastern Townships 2020 2021 Estrie Quebec By Tourismecantonsdelest Issuu

Custom Made Exam Room Cabinets Medical Office Decor Medical Office Design Pediatric Waiting Room Ideas

Custom Made Exam Room Cabinets Medical Office Decor Medical Office Design Pediatric Waiting Room Ideas

Olivier Naggara Interventional Neuroradiologist Md Phd Centre Hospitalier Sainte Anne Paris Neuroradiology

Olivier Naggara Interventional Neuroradiologist Md Phd Centre Hospitalier Sainte Anne Paris Neuroradiology

Http Www Seiu521 Org Files 2011 05 2011eboardapr26officers Pdf

Http Www Seiu521 Org Files 2011 05 2011eboardapr26officers Pdf

Http Www Pacodeandbulletin Gov Secure Pabulletin Data Vol43 43 35 43 35 P2 Pdf

Http Www Pacodeandbulletin Gov Secure Pabulletin Data Vol43 43 35 43 35 P2 Pdf

Festival Catalogue 2016 By Apunkatest Issuu

Festival Catalogue 2016 By Apunkatest Issuu

Https Www Michigan Gov Documents Msp Micr Manual 653163 7 Pdf

Https Www Michigan Gov Documents Msp Micr Manual 653163 7 Pdf

This Sink Is Amazing Home Kitchens Kitchen Design My Dream Home

This Sink Is Amazing Home Kitchens Kitchen Design My Dream Home

Steve Harvey S 3 Ps Of Love Friends Quotes Meaningful Quotes Happy Relationships

Steve Harvey S 3 Ps Of Love Friends Quotes Meaningful Quotes Happy Relationships

Https Reacting Inserm Fr Wp Content Uploads 2021 01 Literature Covid19 07 01 2021 Pdf

Https Reacting Inserm Fr Wp Content Uploads 2021 01 Literature Covid19 07 01 2021 Pdf

Onderzoek Met De Lamp Van Wood Lampen

Onderzoek Met De Lamp Van Wood Lampen

Https Www Karger Com Article Pdf 343182

Https Www Karger Com Article Pdf 343182

Https Openresearch Repository Anu Edu Au Bitstream 1885 150841 2 B30870495 Cheney J P Pdf

Https Openresearch Repository Anu Edu Au Bitstream 1885 150841 2 B30870495 Cheney J P Pdf

Abstract Presentations From The Aabb Annual Meeting San Diego Ca Ctober 7 10 2017 2017 Transfusion Wiley Online Library

Abstract Presentations From The Aabb Annual Meeting San Diego Ca Ctober 7 10 2017 2017 Transfusion Wiley Online Library

Pdf Mast Cells Involvement In Inflammation Pathways Linked To Depression Evidence In Mastocytosis

Pdf Mast Cells Involvement In Inflammation Pathways Linked To Depression Evidence In Mastocytosis

Abstract Presentations From The Aabb Annual Meeting San Antonio Tx October 19 22 2019 2019 Transfusion Wiley Online Library

Abstract Presentations From The Aabb Annual Meeting San Antonio Tx October 19 22 2019 2019 Transfusion Wiley Online Library

Https Link Springer Com Content Pdf 10 1057 2f9780230389526 Pdf

Https Link Springer Com Content Pdf 10 1057 2f9780230389526 Pdf

2017 St Louis City Unclaimed Property By Stltoday Com Issuu

2017 St Louis City Unclaimed Property By Stltoday Com Issuu

Http Www Madisonvillemeteor Com Uploads Files 20201222 135317 122320 20madisonville 20meteor 20e 20edition Pdf

Http Www Madisonvillemeteor Com Uploads Files 20201222 135317 122320 20madisonville 20meteor 20e 20edition Pdf

How To Make Ice Cream Stick Lamp Diy Popsicle Stick Stick Craft Raj Easy Craft Diy Popsicle Stick Crafts Craft Stick Crafts Ice Lolly Stick Crafts

How To Make Ice Cream Stick Lamp Diy Popsicle Stick Stick Craft Raj Easy Craft Diy Popsicle Stick Crafts Craft Stick Crafts Ice Lolly Stick Crafts

Https Ojrd Biomedcentral Com Track Pdf 10 1186 S13023 020 01611 5

Https Ojrd Biomedcentral Com Track Pdf 10 1186 S13023 020 01611 5

Https Www Karger Com Article Pdf 501012

Https Www Karger Com Article Pdf 501012

September 3 1937 Rosh Hashanah Edition By Jewish Press Issuu

September 3 1937 Rosh Hashanah Edition By Jewish Press Issuu

Ephesus Turkey Ephesus Historical Place Western Coast

Ephesus Turkey Ephesus Historical Place Western Coast

Cool Entrance Architecture Interior Architecture Design Architecture Exterior

Cool Entrance Architecture Interior Architecture Design Architecture Exterior

Https Link Springer Com Content Pdf 10 1007 2f978 3 319 23066 5 Pdf

Https Link Springer Com Content Pdf 10 1007 2f978 3 319 23066 5 Pdf

Pin On Des Ingredients Frais Frais Frais

Pin On Des Ingredients Frais Frais Frais

Https Legal Un Org Unjuridicalyearbook Pdfs English By Volume 1993 Bibliography Pdf

Https Legal Un Org Unjuridicalyearbook Pdfs English By Volume 1993 Bibliography Pdf

Https Cases Primeclerk Com Hospitalacquisition Home Downloadpdf Id1 Mtexmtq3ma Id2 0

Https Cases Primeclerk Com Hospitalacquisition Home Downloadpdf Id1 Mtexmtq3ma Id2 0

Https Www Insurance Pa Gov Specialfunds Mcare Documents Corporation 20list 2008 12 20 Pdf

Https Www Insurance Pa Gov Specialfunds Mcare Documents Corporation 20list 2008 12 20 Pdf

Http Mtnviewsnews Com Old Mvnews V10 Mvnews 2016 12 17 Pdf

Http Mtnviewsnews Com Old Mvnews V10 Mvnews 2016 12 17 Pdf

Https Link Springer Com Content Pdf 10 1007 2f978 94 007 5971 8 Pdf

Https Link Springer Com Content Pdf 10 1007 2f978 94 007 5971 8 Pdf

Https Link Springer Com Content Pdf 10 1007 2f978 3 030 46699 2 Pdf

Https Link Springer Com Content Pdf 10 1007 2f978 3 030 46699 2 Pdf

Http Www Sanantonio Gov Devserv Crystalreports Archive Blgpermgrantedweekending2019 03 23 Pdf

Http Www Sanantonio Gov Devserv Crystalreports Archive Blgpermgrantedweekending2019 03 23 Pdf

Wallpaper Simple Rgb Hd Wallpaper Download Pente

Wallpaper Simple Rgb Hd Wallpaper Download Pente

Monika Engelhardt S Research Works University Of Freiburg Freiburg Albert Ludwigs Universitat Freiburg And Other Places

Monika Engelhardt S Research Works University Of Freiburg Freiburg Albert Ludwigs Universitat Freiburg And Other Places

Healing The Ear And The Kidney In 2021 Acupressure Points Kidney Kidney Health

Healing The Ear And The Kidney In 2021 Acupressure Points Kidney Kidney Health

Https Records Manateeclerk Com Boardrecords Browse Agendas Planning Commission 2020 07 Pc20200724doc003 Pdf

Https Records Manateeclerk Com Boardrecords Browse Agendas Planning Commission 2020 07 Pc20200724doc003 Pdf

Https Diabetes Diabetesjournals Org Content Diabetes 65 Supplement 1 A1 Full Text Pdf

Https Diabetes Diabetesjournals Org Content Diabetes 65 Supplement 1 A1 Full Text Pdf

Pdf Ideational And Interpersonal Manifestations Of Projection In Spanish

Pdf Ideational And Interpersonal Manifestations Of Projection In Spanish

Pdf The Smooth Transition Spain S 1978 Constitution And The Nationalities Question

Pdf The Smooth Transition Spain S 1978 Constitution And The Nationalities Question

Pdf Shared Genetic Risk Between Eating Disorder And Substance Use Related Phenotypes Evidence From Genome Wide Association Studies

Pdf Shared Genetic Risk Between Eating Disorder And Substance Use Related Phenotypes Evidence From Genome Wide Association Studies

Https Www Rapidcitydiocese Org Wp Content Uploads 2019 11 Wrcnov2019r Pdf

Https Www Rapidcitydiocese Org Wp Content Uploads 2019 11 Wrcnov2019r Pdf

Https Onlinelibrary Wiley Com Doi Pdf 10 1002 9780470713051

Https Onlinelibrary Wiley Com Doi Pdf 10 1002 9780470713051

I Like The Human Silhouette W The Chaotic Colors On The Inside It S Like A Portrait And Abstract Art In One U4apsa Art Abstract Portrait Art Drawings

I Like The Human Silhouette W The Chaotic Colors On The Inside It S Like A Portrait And Abstract Art In One U4apsa Art Abstract Portrait Art Drawings

Https Www Thelancet Com Cms 10 1016 S1470 2045 20 30441 1 Attachment 4f80b054 A558 464f Bf7e 623de6596dd9 Mmc1 Pdf

Https Www Thelancet Com Cms 10 1016 S1470 2045 20 30441 1 Attachment 4f80b054 A558 464f Bf7e 623de6596dd9 Mmc1 Pdf

Https Mca Marines Org Wp Content Uploads Lneck Jun2020ads Pdf

Https Mca Marines Org Wp Content Uploads Lneck Jun2020ads Pdf

Https Www Jstor Org Stable 44314268

Https Www Jstor Org Stable 44314268

Http Www Sanantonio Gov Devserv Crystalreports Archive Blgpermgrantedweekending2019 10 05 Pdf

Http Www Sanantonio Gov Devserv Crystalreports Archive Blgpermgrantedweekending2019 10 05 Pdf

Http Digitalcommons Lsu Edu Cgi Viewcontent Cgi Article 2404 Context Gradschool Disstheses

Http Digitalcommons Lsu Edu Cgi Viewcontent Cgi Article 2404 Context Gradschool Disstheses

Http Www Sanantonio Gov Devserv Crystalreports Archive Blgpermgrantedweekending2020 09 05 Pdf

Http Www Sanantonio Gov Devserv Crystalreports Archive Blgpermgrantedweekending2020 09 05 Pdf

Waxing Vs Shaving Esthetics Waxing Tips Body Waxing

Waxing Vs Shaving Esthetics Waxing Tips Body Waxing

Https Www Mcgill Ca Mrcct Files Mrcct 2016 17 Mrcct Annualreport Pdf

Https Www Mcgill Ca Mrcct Files Mrcct 2016 17 Mrcct Annualreport Pdf

Http Www Wipo Int Edocs Pctdocs En 2001 Pct 2001 29 Section1 Pdf

Http Www Wipo Int Edocs Pctdocs En 2001 Pct 2001 29 Section1 Pdf

Canvas Print The Bridge Of Grace Art Print By Makehimknown Grace Art Gods Grace Christian Quotes

Canvas Print The Bridge Of Grace Art Print By Makehimknown Grace Art Gods Grace Christian Quotes

Https Pure Uva Nl Ws Files 2532122 160846 Zwieten Thesis Complete Pdf

Https Pure Uva Nl Ws Files 2532122 160846 Zwieten Thesis Complete Pdf

Https Wwwnc Cdc Gov Eid Content 25 12 Pdfs V25 N12 Pdf

Https Wwwnc Cdc Gov Eid Content 25 12 Pdfs V25 N12 Pdf

Yoga Pose Line Drawing Print Printable Abstract Wall Art Etsy In 2021 Line Art Drawings Yoga Prints Yoga Drawing

Yoga Pose Line Drawing Print Printable Abstract Wall Art Etsy In 2021 Line Art Drawings Yoga Prints Yoga Drawing

Pdf Neurotheranostics As Personalized Medicines

Pdf Neurotheranostics As Personalized Medicines

Https Www Ajronline Org Doi Pdfplus 10 2214 Ajr 09 2473

Https Www Ajronline Org Doi Pdfplus 10 2214 Ajr 09 2473

Http Files Eric Ed Gov Fulltext Ed130329 Pdf

Http Files Eric Ed Gov Fulltext Ed130329 Pdf

Https Core Ac Uk Download Pdf 303060348 Pdf

Https Core Ac Uk Download Pdf 303060348 Pdf

Https Www Rheumatology Org Portals 0 Files Annual Meeting Session Tracker 2016 Pdf

Https Www Rheumatology Org Portals 0 Files Annual Meeting Session Tracker 2016 Pdf

Https Cases Primeclerk Com Nationalstores Home Downloadpdf Id1 Mta2mjc2nq Id2 0

Https Cases Primeclerk Com Nationalstores Home Downloadpdf Id1 Mta2mjc2nq Id2 0

Source : pinterest.com